Shannon entropy: how to measure information mathematically
A deep dive into self-information and information entropy with a few thought experiments.
Hello fellow machine learners,
Last week, we (finally) wrapped up our discussion of the Support Vector Machine. I hope you enjoyed reading those articles as much as I enjoyed writing them!
This week, we will discuss the topic of information entropy. I remember learning about this topic at university. I also remember not actually understanding it đ
The explanations we were given in lectures felt quite confusing to me, in part because we were trying to ascribe mathematical formulas to rather abstract concepts like information and uncertainty.
This article encompasses my best way of explaining it, and will lay the foundation for an ML algorithm that weâll discuss next week.
These concepts were first mathematically formalised by Claude Elwood Shannon in his revolutionary 1948 paper titled âA Mathematical Theory of Communicationâ. This is the main reason why Shannon is regarded as the founding father of information theory. As well as this, Anthropicâs Claude AI model was named after Shannon. So basically, heâs a pretty big deal.
With all that said, letâs get stuck in!1
How do we âmeasureâ information?
Suppose you have a die that you know is heavily biased toward landing on the number 6. If you rolled the die and had to predict what number it would land on, what would you predict? Well, 6 of course. And in doing so, youâd probably be right most of the time. You already know the bias of the die, and so you wonât be surprised from seeing the outcomes of its rolls.
What if, instead, the die is fair, i.e. each number is equally likely to be rolled? Well, you could guess any number and, chances are, you would be wrong more times that youâd be right. After all, for each roll of the die you would only have a one-in-six chance of guessing the number correctly. That is, most of the time, you will be surprised when seeing the outcome of its rolls.
Thus, we can consider the roll of the second die to provide us with more information than the roll of the first die. We could think of information as follows:
The amount of information an event provides can be quantified by how surprising the eventâs occurrences are. The more surprising an outcome, the more information you gain from seeing the outcome.
Suppose that an event occurs with probability p. If we wanted to mathematically define the information gained from observing the outcome that occurs with probability p, how would we do it? Whatever function we plan on using, we would probably want the following conditions to hold:
The function should be continuous. The value of information gained (or lost) should change smoothly as the value of p changes.
If p=1, then our information function should output the value 0. This is because, if an event that occurs 100% of the time, then we do not gain any information at all from observing its outcome, i.e. no surprise.
The total information gained from two independent events should equal the sum of the information gained from each individual event.
The more unlikely an event is, the more surprise there is when sampling its outcomes. So the function should be large when p is small, and small when p is large.
These criteria are satisfied precisely by the so-called self-information function
We will explain the use of the base-2 logarithm specifically later. For now, we can check that this function satisfies our requirements:
Continuity: the logarithm is a continuous function.2
Zero information for a deterministic outcome: when p=1, the logarithm takes the value 0 as desired.
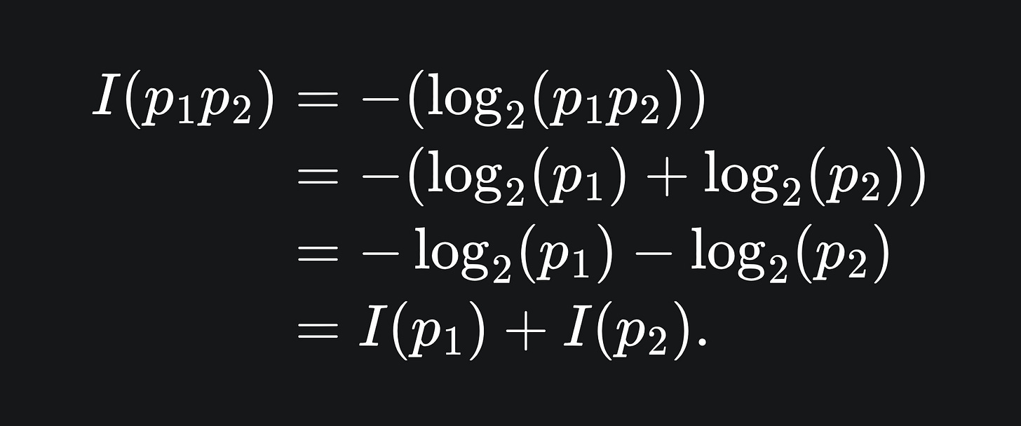
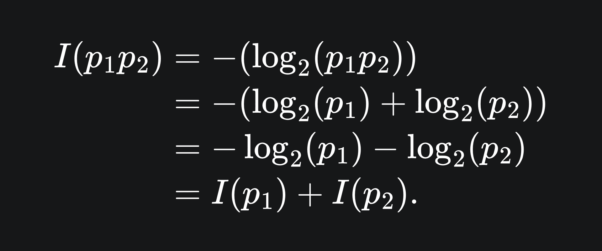
Joint events: suppose that we have two independent events which have probabilities p1 and p2 of occurring respectively. Then we have by the additive property of the logarithm that
Here is what the function looks like, demonstrating that condition 4 is indeed satisfied:

Information entropy
Claude Shannon formalised the idea of information entropy mathematically. Given a set of possible events whose probabilities of occurrence are given by the distribution P=(p1,p2,âŚ,pn), the information entropy of the set of events is given by the expected value of the self-information provided by a probability distribution. The formula is given by
Suppose that the random variable X follows a Bernoulli distribution of parameter p. That is, it takes the value 1 with probability p, and takes the value 0 with probability 1-p. The entropy of this corresponding distribution is
Here is what the information entropy looks like for different values of p:
So the information entropy is maximised when p=0.5 which corresponds to the fair coin toss example. In this case, the information entropy value is
Conversely, the minimum value that entropy can take is 0. In the Bernoulli distribution case, this happens when either p=1 or p=0.
Why base 2?
Suppose that I am in a room with a coin and a light switch, and my friend in a separate room wants to know whether the coin lands on heads or tails when I toss it, and he wants to know without leaving his room. I am not allowed to communicate with him in any way except with the audible sound of the light switch flip. However, we are allowed to discuss a strategy before we each go into our separate rooms.
The question is as follows: what is the most efficient way I can communicate to my friend whether the coin landed on heads or tails?
One way to do this is with Morse code. I could flip the coin and then the light switch to communicate either âheadâ or âtailâ in Morse code. This would certainly inform my friend of the coinâs toss outcomeâŚ
âŚbut can we be even more efficient?
We could agree the following before breaking off: if the coin lands on heads, I flip the switch just once; otherwise, I donât flip the switch at all. Then my friend can enter his room and just wait for, say, 60 seconds before knowing what has happened.
In deciding to flip the light switch just once, I have transmitted one bit of information to my friend. A bit of data is the smallest measurable unit of information. A bit can take one of two values: 1 or 0. These numbers correspond to either flipping the light switch or leaving it be.
This is far more efficient than using Morse code for the letters of the alphabet. In fact, this one-bit approach is the most information-efficient way in which we couldâve communicated the outcome of the coin toss. And we are saying that I need at least one bit of information to communicate the coin toss outcome to my friend.
Simple communication tasks can be encoded using binary. The binary system is a number system that uses only 0s and 1s, rather than the 0-9 digit decimal system that we use more commonly. Each new column in the binary system introduces the next highest power of 2. So our regular numbers like 3, 12, 1028496839, etc. all have binary representations.
So to work out how many bits are needed to store a value, we need to know what power of 2 weâll need. And this information is provided precisely by the base-2 logarithm. Donât forget that loga(b) means âwhat power do I need to raise the value âaâ to in order to get the value âbâ?â.
Thus, the base-2 logarithm is used in the self-information and information entropy formulas, because it tells us how many bits are needed to store the desired information, and bits are the standard unit measurement to store information. Different bases will tell you how many units are needed in a separate digit system. For example, the natural logarithm, which uses the number e as its base, uses the units of ânatsâ (which I assume stands for ânatural bitsâ?).
Packing it all up
This concludes another MLAU article! I did my best to try and explain this rather abstract topic. I hope things make sense, but if not, then please do let me know in the comments. Feel free to also roast me by DM too. Iâm not fussy.
As always, here is a roundup of what we covered:
The information gained from seeing the outcome of an event can be quantified by measuring how surprising the eventâs outcome is. The self-information function provides the perfect mathematical formulation for this.
Information entropy is given by the expected value of information provided by the outcomes of a probability distribution.
Information entropy is maximised for discrete uniform distributions, and is minimised when the outcome of an event is guaranteed. The more skewed a distribution is, the less surprising its outcomes will be.
The base-2 logarithm tells us how many bits are needed to store the desired input information. Different bases measure the information storage size in the corresponding number system. Pretty cool, huh?
Training complete!
I hope you enjoyed reading as much as I enjoyed writing đ
Do leave a comment if youâre unsure about anything, if you think Iâve made a mistake somewhere, or if you have a suggestion for what we should learn about next đ
Until next Sunday,
Ameer
PS⌠like what you read? If so, feel free to subscribe so that youâre notified about future newsletter releases:
Sources
Claude Shannonâs original paper, which introduced this idea of information theory: https://people.math.harvard.edu/~ctm/home/text/others/shannon/entropy/entropy.pdf
âInformation Theory, Inference and Learning Algorithmsâ, by David MacKay: https://www.inference.org.uk/mackay/itila/book.html
An excellent online blog post that helped me better understand information theory: https://mbernste.github.io/posts/entropy/
If anyone knows of a better segue phrase, Iâm all ears! Maybe something more specific to the context of ML?
Real Analysis lecture notes from my alma mater if you really want to get into the analysis weeds: https://warwick.ac.uk/fac/sci/maths/people/staff/keith_ball/anal_ii_notes_2025.pdf






